Ce programme présente les attracteurs de Lorenz et Rossler qui sont des structures fractales.
Ces attracteurs montrent comment les différentes variables d'un système dynamique évoluent dans le temps en une trajectoire non périodique,
comme les systèmes météorologiques par exemple.
C'est beau, mais ça représente quoi?
Dans l'étude des systèmes dynamiques, un attracteur (ou ensemble-limite) est un ensemble ou un espace vers lequel un système évolue de façon irréversible en l'absence de perturbations.
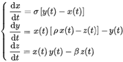
Dans les équations de Lorenz, les 3 variables de gauche pourraient représenter par exemple, la température, la pression et la vitesse du vent.
Ils sont tous dépendants l'un de l'autre, l'évolution du système en fonction du temps va dépendre des valeurs initiales des variables.
Une infime différence pour la température, disons 10.5 °C et 10.6 °C va donner après quelques itérations un chemin complètement différent.
C'est ce problème qui empêche les prévisions météo à long terme, on ne connait pas la température exacte, ce qui entraine des prévisions de moins en moins sure à long terme!
L'attrateur de Rossler est plus étudié en chimie, il est plus simple, mais est du même type de Lorenz.
Utlisez la souris + click (avec mouvement verticale / horizontale) pour
faire tourner ou déplacer l'attracteur dans l'espace 3D ou via les boutons suivants :